For Immediate Release
Company name: DAIICHI SANKYO COMPANY, LIMITED
Representative: Takashi Shoda, President and CEO
(Code no.: 4568, First Section, Tokyo, Osaka, and Nagoya Stock Exchanges)
Please address inquiries to Toshiaki Sai, General Manager,
Corporate Communications Department
Telephone: +81-3-6225-1126
http://www.daiichisankyo.com/
DAIICHI SANKYO to Issue Stock Options (Stock Acquisition Rights) as Remuneration
TOKYO, Japan (July 31, 2009) – Daiichi Sankyo Company, Limited (TSE: 4568) has announced that its Board of Directors today reached a decision to issue stock acquisition rights to remunerate directors (excluding outside directors) and corporate officers, pursuant to Articles 236-1, 238-1, 238-2, and 240-1 of the Corporate Code (Act No. 86 of 2005). The particulars are as set forth below.
I.Reason for issue of stock acquisition rights as stock options
With respect to fees to Directors, Auditors and Corporate Officers, the Company reviewed its remuneration systems that are linked to the improvement of its corporate value. Rather than employing the retirement benefit system, the Company shall grant share remuneration-type stock options, which use stock acquisition rights based on an exercise price of one (1) yen per share, to Directors and Corporate Officers.
II. Procedure for issuing stock acquisition rights
1.Name of stock acquisition rights
Daiichi Sankyo Company, Limited No. 3 stock acquisition rights
2.Those to whom stock acquisition rights are to be offered
Six directors (excluding outside directors) and 18 corporate officers of the Company.
3.Total number of stock acquisition rights
2,308 stock acquisition rights
The number of shares that are the subject matter per one stock acquisition right shall be 100 shares of the Company. However, if the number of granted shares stipulated in 4. (1) below is adjusted, the total number of shares subject to stock acquisition rights shall be adjusted accordingly.
The above number is the expected number of the allotment. If the total number of the stock acquisition rights to be allotted is less than expected, such as in the case where applications are not made as expected, total number of allotted stock acquisition rights will be reduced accordingly.
4.Content of stock acquisition rights
(1)Type and the number of shares which are the subject matter of stock acquisition rights
Type of shares which are the subject matter of stock acquisition rights shall be ordinary shares, and the number of shares which are the subject matter of respective stock acquisition rights (hereinafter "Number of Granted Shares") shall be 100. If the Company effects a stock split of its shares or effects a reverse stock split after the allotment date, the number of shares subject to one stock acquisition right shall be adjusted using the following formula. However, such adjustment shall be made with respect to the number of shares which are the subject matter of stock acquisition rights not exercised at that time.

In addition, if the Company merges with another company or splits, effects a free allotment, or otherwise adjusts the number of shares subject to one stock acquisition right, the Company may properly adjust the number of shares to the reasonable extent.
(2)Amount of assets paid upon exercise of stock acquisition rights
The assets paid upon exercise of the stock acquisition rights shall be the amount calculated by multiplying the per-share amount (hereinafter "Exercise Price"), which stands at one (1) yen, by the number of shares that are granted per one stock acquisition right.
(3)Period in which stock acquisition rights can be exercised
From August 18, 2009 to August 17, 2039
(4)Matters concerning capital and capital reserve increased when shares are issued through the exercise of stock acquisition rights
i) The amount of capital increased when shares are issued through the exercise of stock acquisition rights shall be half of the limit amount of an increase in capital, etc. to be calculated in accordance with Article 17-1 of the Calculation Rules of the Company, and any fractions less than one (1) yen which may occur as a result of calculation shall be rounded up.
ii) The amount of capital reserve increased when shares are issued through the exercise of stock acquisition rights shall be the limit amount of an increase in capital, etc. stated in (i) above less the amount of capital increased as provided in (i) above.
(5)Restriction on acquisition of the stock acquisition rights by assignment
Acquisition of stock acquisition rights by assignment shall be subject to the approval of the Board of Directors.
(6)Events and conditions for acquisition of stock acquisition rights
i) If those with stock acquisition rights (hereinafter "Stock Acquisition Rights Holder") are unable to fulfill their rights according to stipulations in (9) below, the Board of Directors may set forth a separate date and claim the stock acquisition rights free of charge.
ii) If a proposal of approval of a merger contract in which the Company becomes the expired corporation, proposal of approval of an acquisition and split contract or a new establishment and split plan in which the Company becomes the split company, or proposal of approval of an equity swap contract or stock transfer plan in which the Company becomes a wholly-owned subsidiary is approved at a meeting of shareholders of the Company (if any resolution of a meeting of shareholders is not necessary, when a resolution of board of directors of the Company is made), stock acquisition rights may be acquired free of charge on any date separately specified by the board of directors of the Company.
iii) If Stock Acquisition Rights Holder relinquishes stock acquisition rights in writing, the Board of Directors may set forth a separate date and claim the stock acquisition rights free of charge.
(7)Delivery of stock acquisition rights in the case of merger, acquisition and split, new establishment and split, equity swap or stock transfer
If the Company conducts a merger (only when the Company no longer exists due to the merger), acquisition and split, new establishment and split, equity swap, or stock transfer (hereinafter "Reorganization Acts"), it shall deliver stock acquisition rights of joint stock companies indicated in Article 236-1-8-(a) to (e) of the Corporate Code (hereinafter "Companies Subject to Reorganization") to those qualified for receiving stock acquisition rights which are outstanding on the day the Reorganization Acts become effective (hereinafter "Outstanding Stock Acquisition Rights") in respective cases under the conditions shown below. In this case, the Outstanding Stock Acquisition Rights become extinct, and the Companies Subject to Reorganization shall issue new stock acquisition rights. However, the purposes of delivery of stock acquisition rights of the Companies Subject to Reorganization shall be limited to those designated in the acquisition and merger contract, new establishment and merger contract, acquisition and split contract, new establishment and split plan and equity swap contract, or stock transfer contract in line with the following conditions:
i) Number of stock acquisition rights of the Companies Subject to Reorganization to be delivered
The same number of Outstanding Stock Acquisition Rights as that of those held by Stock Acquisition Rights Holders shall be delivered.
ii) Type of shares which are the subject matter of stock acquisition rights
Ordinary shares of the Companies Subject to Reorganization
iii) Number of shares which are the subject matter of stock acquisition rights
Number of shares shall be determined in the same manner stipulated in (1) above, taking conditions for the Reorganization Acts into consideration.
iv) Amount of assets paid upon exercise of stock acquisition rights
Amount of assets paid upon exercise of respective stock acquisition rights delivered shall be the amount calculated by multiplying the exercise price after adjustment, which is obtained by adjusting the Exercise Price by the number of shares of the Companies Subject to Reorganization stipulated in (iii), which are the subject matter of such stock acquisition rights, taking conditions for the Reorganization Acts into consideration.
v) Period in which stock acquisition rights can be exercised
The period in which the delivered stock acquisition rights can be exercised is the first day of the period provided in (3) above or the day the Reorganization Acts become effective, whichever comes later, to the last day of the period provided in (3) above.
vi) Matters concerning capital and capital reserve increased when shares are issued through the exercise of stock acquisition rights
To be determined in the same manner as in (4) above.
vii) Restriction on acquisition of stock acquisition rights by assignment
Acquisition of stock acquisition rights by assignment shall be subject to the approval of the Board of Directors of the Companies Subject to Reorganization.
viii) Conditions for exercise of stock acquisition rights and events and conditions for acquisition of stock acquisition rights
To be determined in the manner provided in (6) above and (9) below. Reorganization Acts are to be set by Board of Members of the Company.
(8)Treatment of fractions
If there are fractions of less than one share in shares to be delivered to those qualified for receiving stock acquisition rights, such fractions shall be rounded down.
(9)Conditions for the exercise of stock acquisition rights
i) Any Stock Acquisition Rights Holder shall be a director or corporate officer of the Company or in a similar position at the time when he/she is allotted those rights. The Stock Acquisition Rights Holder may exercise his or her rights from the following day of the day he or she retired from office of director to the last day of the business year within 10 years from his or her retirement. (For Stock Acquisition Rights Holders who are both a director and corporate officer at the time of allotment, this is the last day that they are director regardless of whether they remain as a corporate officer. If the Stock Acquisition Rights Holder is a corporate officer at the time of allotment and becomes a director when they step down as corporate office, this is the last day that they are a director.)
ii) Pledge or any other disposal of stock acquisition rights is not allowed.
iii) If the Stock Acquisition Rights Holder perishes, the successor may exercise rights as provided in an "agreement on offering of stock acquisition rights" to be entered into between the Company and the Stock Acquisition Rights Holder.
iv) Each stock acquisition right cannot be partially exercised.
v) Other conditions shall be provided in an "agreement on offering of stock acquisition rights" to be entered into between the Company and the Stock Acquisition Rights Holder.
(10)Other details regarding stock acquisition rights shall be stipulated in an "agreement on offering of stock acquisition rights" to be entered into between the Company and the Stock Acquisition Rights Holder.
5.Subscription amount for stock acquisition rights
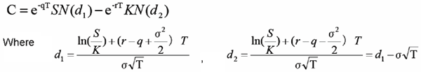
At the Offering Date of the stock acquisition rights, the subscription amount is calculated using the Black-Scholes model. The Company and the Stock Acquisition Rights Holder shall offset subscriptions in cash against such claims for compensation on the due date of subscription.
The Black-Scholes model is shown below.

i) Option price per stock (C)
ii) Unit price (S): Closing price of the Company's ordinary share in regular transactions for August 17, 2009 (day of granting) from the Tokyo Stock Exchange (if there is no closing price, the unit price for the following day is used)
iii) Exercise price (K): One (1) yen
iv) Projected period to maturity (T): Ten (10) years
v) Share price volatility (σ): Based on closing stock price of trading of ordinary shares of the Company from September 28, 2005 to August 17, 2009
vi) Risk-free rate of interest (r): Interest rate of government bonds for the remaining years of the projected period to maturity
vii) Projected dividend (q): Dividend per share (The dividend paid for the past twelve (12) months (total of the dividend paid in September 2008 and March 2009)) divided by the Unit price as in (ii) above)
viii) Standard normal cumulative distribution function (N (・))
6.Offering Date
August 17, 2009
End